반응형
Notice
Recent Posts
Recent Comments
Link
| 일 | 월 | 화 | 수 | 목 | 금 | 토 |
|---|---|---|---|---|---|---|
| 1 | ||||||
| 2 | 3 | 4 | 5 | 6 | 7 | 8 |
| 9 | 10 | 11 | 12 | 13 | 14 | 15 |
| 16 | 17 | 18 | 19 | 20 | 21 | 22 |
| 23 | 24 | 25 | 26 | 27 | 28 | 29 |
| 30 |
Tags
- 공부
- 작계훈련
- 리팩터링
- 이득우의 언리얼 프로그래밍1
- 2023 게이밍 인 구글 클라우드
- 언리얼5
- URP
- GenAI
- 2023 구글 클라우드
- 448일선
- 전주비빔 라이스 버거
- 224일선
- 구글 컨퍼런스
- 2023 게이밍
- unity
- 이득우의 언리얼 프로그래밍 1
- 112일선
- 스즈메의 문단속
- JavaScript
- 주식단테
- 1일차
- 스포일러 주의
- 2023 Gaming
- shader
- 언리얼 5
- 산토리 하이볼
- 리팩터링 4장
- 상계9동
- 리팩터링 3장
- 주식
Archives
- Today
- Total
개발 이야기 안하는 개발자
알고리즘 공부 (2024_11_8) 본문
반응형
백준 1114 : 통나무 자르기
딱 보고 이분탐색이구나 했는데 눈에 안들어오더라... 왜캐 어렵지...알겠는데 모르겠다.
그래서 결국 블로그 찾아 댕겨서 풀었다.

[백준] 1114번 - 통나무 자르기
이 문제는 이분탐색을 활용하는 문제다. 이분탐색을 통해 가장 긴 조각의 최소값을 찾을 수 있다. 1~L(통나무전체길이) 까지의 길이 중 검사할 길이를 이분탐색으로 정하고 통나무의 가장 긴 조
hojun.tistory.com
백준 2012 : 등수 매기기
불만도만 측정하면 되는 문제여서 뭐 손해를 가장 덜 보는 순으로 고려했다.
그러면 참가자 다 우선순위 큐에 넣고 순서대로 빼서 계산했다.

#include <stdio.h>
#include <algorithm>
#include <queue>
#include <vector>
#include <iostream>
#include <fstream>
#include <stack>
#include <math.h>
using namespace std;
int main() {
ios_base::sync_with_stdio(false); cin.tie(NULL); cout.tie(NULL);
int N;
priority_queue<int, vector<int>, greater<int>> q;
long long answer = 0;
int count = 1;
cin >> N;
for (int i = 0; i < N; i++)
{
int k;
cin >> k;
q.push(k);
}
while (!q.empty())
{
int cur = q.top();
q.pop();
answer += abs(cur - count);
count ++;
}
cout << answer;
}
백준 4716 : 풍선
이것도 예전에 풀었던 트럭문제랑 비슷하더라. 손해를 가장 많이 보는곳 기준으로 우선순위 내려서 풀었다.
손해가 가장 심한 곳부터 고려해서 문제를 해결했다.
문제 입력에 계속 반복하다가 0 0 0 나오면 종료라길래 while 문을 추가했다.

#include <stdio.h>
#include <algorithm>
#include <queue>
#include <vector>
#include <iostream>
#include <fstream>
#include <stack>
#include <math.h>
using namespace std;
struct info
{
int K, Da, Db;
info(int k, int da, int db) : K(k), Da(da), Db(db) {};
const bool operator<(const info& other) const
{
return abs(Da - Db) < abs(other.Da - other.Db);
}
};
int main() {
ios_base::sync_with_stdio(false); cin.tie(NULL); cout.tie(NULL);
while (true)
{
int N, A, B;
int answer = 0;
priority_queue<info> q;
cin >> N >> A >> B;
if (N == 0 && A == 0 && B == 0)
{
break;
}
for (int i = 0; i < N; i++)
{
int K, Da, Db;
cin >> K >> Da >> Db;
q.push(info(K, Da, Db));
}
while (!q.empty())
{
info cur = q.top();
q.pop();
if (cur.Da < cur.Db)
{
int useA = min(cur.K, A);
answer += useA * cur.Da;
A -= useA;
int useB = cur.K - useA;
answer += useB * cur.Db;
B -= useB;
}
else
{
int useB = min(cur.K, B);
answer += useB * cur.Db;
B -= useB;
int useA = cur.K - useB;
answer += useA * cur.Da;
A -= useA;
}
}
cout << answer << "\n";
}
}
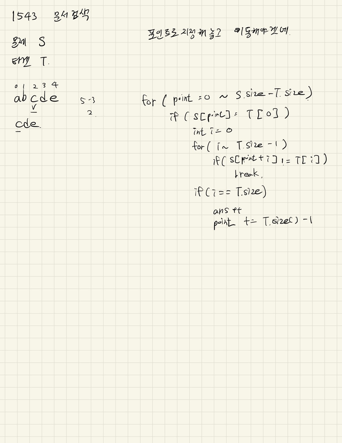
백준 1543 : 문서 검색
그냥 글자 찾으면 다 검색하도록 했다.
근데 T가 더 길수도 있다는 오류에 빠져서 시간을 좀 썼었다.
조건에 보면 T가 더 짧다는 조건이 없더라. 그래서 T가 더 길수도 있기 때문에 예외처리를 걸어야 하더라.

#include <stdio.h>
#include <algorithm>
#include <queue>
#include <vector>
#include <iostream>
#include <fstream>
#include <stack>
#include <math.h>
#include <string>
using namespace std;
int main() {
string S, T;
int answer = 0;
getline(cin, S);
getline(cin, T);
if (S.size() < T.size())
{
cout << answer;
return 0;
}
for (int point = 0; point <= S.size() - T.size(); point++)
{
if (S[point] == T[0])
{
int i = 0;
for (i = 0; i < T.size(); i++)
{
if (S[point + i] != T[i])
{
break;
}
}
if (i == T.size())
{
answer++;
point += T.size() - 1;
}
}
}
cout << answer;
}
반응형
'개발' 카테고리의 다른 글
| 알고리즘 공부 (2024_11_13) (0) | 2024.11.13 |
|---|---|
| 알고리즘 공부 (2024_11_12) (2) | 2024.11.12 |
| 알고리즘 공부 (2024_10_31) (1) | 2024.10.31 |
| 알고리즘 공부 (2024_10_30) (2) | 2024.10.30 |
| 알고리즘 공부 (2024_10_29) (3) | 2024.10.29 |